22 November

CONTOH SOAL TRIGONOMETRI JUMLAH DAN SELISIH DUA SUDUT

 Saat belajar trigonometri, jumlah dan selisih sudut menjadi salah satu materi yang dipelajari. Materi ini akan mempelajari rumus sinus, cosinus, dan tangen. Untuk memahaminya, contoh soal jumlah dan selisih dua sudut trigonometri dapat menjadi pembelajaran.

Dengan adanya contoh soal membuat lebih memahami materi tentang jumlah dan selisih dua sudut trigonometri. Di sisi lainnya, contoh soal membuat siswa tidak lagi kesulitan saat menemui soal yang serupa.

Peerhatikan rumus dasar trigonometri jumlah dan selisih dua sudut.

Sinus

Sin (A + B) = sin A cos B + cos A sin B

Sin (A - B) = sin A cos B - cos A sin B

Cosinus

Cos (A + B) = cos A cos B – sin A sin B

Cos (A - B) = cos A cos B + sin A sin B

Tangen

Perhatikan Contoh Soal berikut.

1. Tentukan nilai sin 150o

Jawaban:



2. Tentukan nilai cos 160o

Jawaban:


3. Tentukan nilai sin 255o

Jawaban:


4. Tentukan nilai cos 195o

Jawaban:


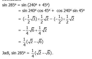
5. Tentukan nilai sin 285o

Jawaban:



6. Tentukan nilai tan 75o

Jawaban:




Demikianlah sedikit materi tentang trigonometri selisih dan jumah sudut.

Semoga Bermanfaat. 



Tidak ada komentar:

Posting Komentar